복리 계산법과 72의 법칙 알아보기
목차
복리는 투자와 재테크에서 많이 이용되는 계산법입니다. 수익이나 이자가 원금에 더해지므로, 시간이 지날수록 자산이 기하급수적으로 불어나는 특징이 있습니다. 이 때 중요한 것은 중간에 단 한 차례라도 손해를 봐서는 안 된다는 것인데요. 위 그래프는 년수익률 5%를 가정했을 때, 매년 투자금이 얼마나 불어나는지를 나타내는 그래프입니다. 시간이 갈수록 증가하는 폭이 더 커지는 것이 특징입니다.
복리 계산법의 특성상 손으로 그냥 계산하기는 어렵습니다. 오늘은 복리 계산법과 72법칙, 그리고 복리 계산을 쉽게 할 수 있는 계산기를 알아보았습니다.
1. 복리 계산 공식
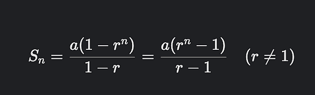
복리는 수학시간에 '등비수열의 합'이라는 이름으로 공식을 알려줍니다. 이 공식을 이용하면 연이율(또는 수익률) r로, n 년간 투자했을 때 최종 금액이 얼마가 되는지 알 수 있습니다. a는 투자원금입니다.

2. 엑셀로 계산하기
하지만 이보다 편한 건 그냥 엑셀에서 계산하는 것인데요. 원금을 1,000만원이라고 가정하고 연이율 5%로 합니다. 이제 매년 원금에 이자율 5%를 더해서 쭈욱 늘려나가면 됩니다.

이렇게 전년도 투자금(원금+이자)에 105%를 하면 됩니다. 말로 하기는 어렵지만, 엑셀 파일로 보면 이해하기 쉽습니다. 그래서 아래에 엑셀파일을 첨부하였습니다.
엑셀로 계산해보는 것의 장점은 가장 자유롭게 시뮬레이션 해 볼 수 있다는 점입니다 .예를 들어 중간에 수익률이 바뀌면 어떻게 되는지 확인해 볼 수 있습니다. 중간에 한 해만 -10%가 나도 어떻게 되는지 궁금하다면, 중간에 수익률 숫자를 변경하면 됩니다. 왜 복리투자에서 한 해도 손해가 나면 안 되는지 한 번에 이해할 수 있습니다. 5%로 수익률로 30년을 복리투자하면, 투자금은 4,322만원이 됩니다. 하지만 20년차에 -10% 손해가 났다고 가정하면, 최종 투자금은 3,704만원이 됩니다.
복리투자는 횟수가 거듭할수록 투자금이 몇 배로 불기 때문에 굉장히 매력적입니다. 하지만 그만큼의 수익률을 꾸준히 유지할 수 있느냐는 또다른 얘기입니다.
3. 72법칙으로 계산하기
72법칙은 재테크에서 많이 나오는 내용입니다. 이율로 72를 나누면, 몇 년만에 두 배가 되는지 알 수 있습니다. 예를 들면 연이율 8%로 복리 투자를 한다면, 72 / 8 = 9로 9년 만에 두 배가 됩니다. 연이율 20%라면 72 / 20 = 3.6, 4년 이후에 두 배가 됩니다. 정확한 수치보다 대략적인 예상 기간으로 이해하면 되겠습니다.
4. 복리 계산기 이용하기
복리 계산이 좀 까다롭다보니, 복리 계산을 할 수 있는 계산기를 만들어 보았습니다. 원금과 이자율 기간을 넣으면, 매년 투자금이 어떻게 바뀌는지 알 수 있습니다.
복리 계산법과 72의 법칙을 알아보았습니다. 학습이 목적이 아니라면, 복리 계산기를 이용해 계산하는 것이 편리합니다.
'주식 > 투자방법' 카테고리의 다른 글
| 기업정보 제공 사이트 (2) | 2022.06.14 |
|---|---|
| 신한금융투자 주식매매수수료, 계좌개설방법과 이벤트 알아보기 (1) | 2022.06.11 |
| 주식 존버 뜻과 존버는 승리할까? (0) | 2022.06.10 |
| 삼성증권 ISA 계좌 개설방법과 혜택, 투자하는 방법은?! (0) | 2022.06.01 |
| 채권 투자 방법 2가지와 수수료는?! (0) | 2022.05.17 |
| 비상장 기업 및 주식 정보 확인하는 2가지 방법은?! (1) | 2022.05.17 |
| CMA 계좌 장단점과 주식거래 가능여부 알아보기 (0) | 2022.05.12 |
| 주식계좌 개설 가능 나이와 미성년자 주식계좌 개설방법은?! (0) | 2022.05.04 |





